ads/auto.txt

Definition Derivative Of Exponential Function

Derivative Of Exponential Function For More Solutions To Calculus Problems Log Math Methods Calculus Maths Solutions

Derivative Of Exponential Function For More Solutions To Calculus Problems Log Math Methods Calculus Maths Solutions

The Derivative Of The Natural Exponential Function Calculus 1 Exponential Functions Calculus Exponential

The Derivative Of The Natural Exponential Function Calculus 1 Exponential Functions Calculus Exponential

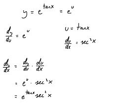
Derivative Of E Tanx Mathematics Math Formula

Derivative Of E Tanx Mathematics Math Formula

Elementary Algebra Section 4 3 Properties Of Logarithms Ppt Download Logarithmic Functions Inverse Functions Exponential

Elementary Algebra Section 4 3 Properties Of Logarithms Ppt Download Logarithmic Functions Inverse Functions Exponential

Differentiation Formulas Are Useful In Finding A Derivative Of Functions And We Use Them In Solving Differentiatio Differentiation Formulas Math Facts Calculus

Differentiation Formulas Are Useful In Finding A Derivative Of Functions And We Use Them In Solving Differentiatio Differentiation Formulas Math Facts Calculus

This Lesson Has Basic Derivative Rules For Polynomials Sine Cosine Tangent E X Perfect For Teaching Ap Calculus Or Co Calculus Ap Calculus Ab Ap Calculus

This Lesson Has Basic Derivative Rules For Polynomials Sine Cosine Tangent E X Perfect For Teaching Ap Calculus Or Co Calculus Ap Calculus Ab Ap Calculus

This Lesson Has Basic Derivative Rules For Polynomials Sine Cosine Tangent E X Perfect For Teaching Ap Calculus Or Co Calculus Ap Calculus Ab Ap Calculus

Illustration of how the derivative of the exponential function is a multiple of the function where that multiple is the derivative at zero.

Definition derivative of exponential function. An exponential function is a mathematical function in form f x a x where x is a variable and a is a constant which is called the base of the function and it should be greater than 0. This formula is proved on the page definition of the derivative the function y ex is often referred to as simply the exponential function. Besides the trivial case f x 0 the exponential function y ex is the only function whose derivative is equal to itself. The derivative of an exponential function can be derived using the definition of the derivative.

A derivative of an exponential function it is important to note that with the power rule the exponent must be a constant and the base must be a variable while we need exactly the opposite for the derivative of an exponential function. The derivative is the natural logarithm of the base times the original function. Derivatives of exponential functions in order to differentiate the exponential function f x a x f x ax we cannot use power rule as we require the exponent to be a fixed number and the base to be a variable. It means the slope is the same as the function value the y value for all points on the graph.

The graph of the function f x b x where you can enter a value for b is shown by the thick blue curve. Exponential functions the derivative of ln x the derivative of e with a functional exponent the derivative of ln u x. The most commonly used exponential function base is the transcendental number e which is approximately equal to 2 71828. Derivatives of exponential functions involve the natural logarithm function which itself is an important limit in calculus as well as the initial exponential function.

At this point the y value is e 2 7 39. Since the derivative of e x is e x then the slope of the tangent line at x 2 is also e 2 7 39. Let s take the example when x 2. This calculus video tutorial explains how to find the derivative of exponential functions using a simple formula.

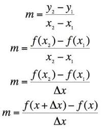
Slope Formula Modifications Calculus Ap Calculus High School Math

Slope Formula Modifications Calculus Ap Calculus High School Math

Pin On Calculus Lesson Ideas

Pin On Calculus Lesson Ideas

Derivative Of A X Exponential Functions Chain Rule Part 3 Derivative Rul In 2020 Chain Rule Exponential Exponential Functions

Derivative Of A X Exponential Functions Chain Rule Part 3 Derivative Rul In 2020 Chain Rule Exponential Exponential Functions

Limit Definition Of Derivative Basic Math Calculus Precalculus

Limit Definition Of Derivative Basic Math Calculus Precalculus

Derivative Of E Sin 2theta Math Sins Derivative

Derivative Of E Sin 2theta Math Sins Derivative

Functions And Limits Basic Definition And Formulas Mathematics Xii Differential Calculus Calculus Mathematics

Functions And Limits Basic Definition And Formulas Mathematics Xii Differential Calculus Calculus Mathematics

Circuit Training Limit Definition Of The Derivative Calculus In 2020 Calculus Definitions Derivatives Calculus

Circuit Training Limit Definition Of The Derivative Calculus In 2020 Calculus Definitions Derivatives Calculus

Le Cours De Mathematiques Est Le Plus Mauvais Que Le Course D Anglais Teaching Algebra College Algebra Algebra

Le Cours De Mathematiques Est Le Plus Mauvais Que Le Course D Anglais Teaching Algebra College Algebra Algebra

Love This Calculus Becomes Soo Much Easier When You Realize You Are Just Finding The Slope Curiosidades Matematicas Fisica Matematica Matematicas Avanzadas

Love This Calculus Becomes Soo Much Easier When You Realize You Are Just Finding The Slope Curiosidades Matematicas Fisica Matematica Matematicas Avanzadas

Pin By Bular On Msmacnmath Tpt Store Inb Chain Rule Math

Pin By Bular On Msmacnmath Tpt Store Inb Chain Rule Math

Displaymath454 Math Formulas Differentiation Formulas Derivative

Displaymath454 Math Formulas Differentiation Formulas Derivative

Exponential Series A Plus Topper Exponentialseries Exponential Calculus Exponential Functions

Exponential Series A Plus Topper Exponentialseries Exponential Calculus Exponential Functions

Table Of Derivative And Integration Trp Yahoo Image Search Results Studying Math Math Formulas Calculus

Table Of Derivative And Integration Trp Yahoo Image Search Results Studying Math Math Formulas Calculus

Source : pinterest.com