ads/auto.txt

Definition Of Simpson S 1 3 Rule

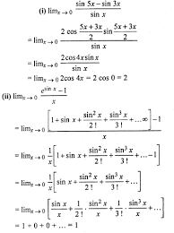
Sequences And Series Mathematics Worksheets Studying Math Physics And Mathematics

Sequences And Series Mathematics Worksheets Studying Math Physics And Mathematics

Rational Inequality With Absolute Value And Quadratic Formula Quadratics Rational Function Absolute Value Equations

Rational Inequality With Absolute Value And Quadratic Formula Quadratics Rational Function Absolute Value Equations

Rules For Graphing Rational Functions Vertical Asymptotes Rational Function Quadratics Polynomials

Rules For Graphing Rational Functions Vertical Asymptotes Rational Function Quadratics Polynomials

Calculus Graphical Numerical Algebraic 3rd Edition Answers Ch 5 The Definite Integral Of Derivatives Ex 5 5 Calculus Simpsons Rule Ch 5

Calculus Graphical Numerical Algebraic 3rd Edition Answers Ch 5 The Definite Integral Of Derivatives Ex 5 5 Calculus Simpsons Rule Ch 5

Pin By Mirzasaqibbaig On Math Formulas In 2020 Math Tutorials Math Notebooks Studying Math

Pin By Mirzasaqibbaig On Math Formulas In 2020 Math Tutorials Math Notebooks Studying Math

Pin On Math

Pin On Math

Pin On Math

After reading this chapter you should be able to.

Definition of simpson s 1 3 rule. The form of simpson s rule given in the book is simp n 1 3 2mid n trap n but trap n left n right n 2. In other words it s the numerical approximation of definite integrals. Simpson s 1 3 rd rule. Simpson s rule can be derived by approximating the integrand f x in blue by the quadratic interpolant p x in red.

Simpson s 1 3 rule is defined by. Use simpson s 1 3 rule it to solve integrals 3. Keyuri shah 150120119171 gandhinagar institute of technology 2141905 cvnm complex variables and numerical methods topic. Trapezoidal and simpson s 1 3 and 3 8 rule 1.

Simpson s 1 3 rule of integration. Simpson s rule definition is a method for approximating the area under a curve over a given interval that involves partitioning the interval by an odd number n 1 of equally spaced ordinates and adding the areas of the n 2 figures formed by pairs of successive odd numbered ordinates and the parabolas which they determine with their included even numbered ordinates. Simpson s rule is a method for numerical integration. Composite simpson s 3 8 rule is even less accurate.

Simpson s 1 3rd rule is an extension of the trapezoidal rule in which the integrand is approximated by a second order polynomial. Derive the formula for simpson s 1 3 rule of integration 2. A parabola between the two limits and and then finds the integral of. Develop the formula for multiple segment simpson s 1 3 rule of integration 4.

Simpson rule can be derived from the various way using newton s divided difference polynomial lagrange polynomial and the method of coefficients. That is if the function doesn t oscillate much if the function is not smooth which is the more common situation. Hitarth m shah presented to sem 4 batch 3c prof. A brief introduction to the simpson s 1 3 rd rule and a uniform interval composite simpson s 1 3 rd rule implementation.

Integral by simpson s 1 3 rule can be represented as a sum of 2 3 of integral by trapezoidal rule with step h and 1 3 of integral by rectangle rule with step 2h. Simpson s rule is a method of numerical integration that provides an approximation of a definite integral over the interval a b using parabolas generally the function f x over interval a b can be approximated as this form works well when the function is smooth over a b. Simpson s rule is as follows. Simpson s 1 3 rd rule approximates with a polynomial of degree two ie.

Derivation of simpson s rule math 129 1. In order to integrate any function f x in the interval a b follow the steps given. In simpson s 1 3 rule we use parabolas to approximate each part of the curve we divide the area into n equal segments of width δx. The simpson s 1 3 rule is a numerical method to find the integral within some finite limits and.

Area Under A Curve Curve Calculus Positive And Negative

Area Under A Curve Curve Calculus Positive And Negative

Sbornik Zadach Po Fizike G N Stepanovoj Rubrics Pre Engineered Metal Buildings Algebra

Sbornik Zadach Po Fizike G N Stepanovoj Rubrics Pre Engineered Metal Buildings Algebra

103 2845 Jpg 1 600 1 180 Pixels Math Interactive Notebook Teaching Math Math Foldables Algebra

103 2845 Jpg 1 600 1 180 Pixels Math Interactive Notebook Teaching Math Math Foldables Algebra

Ssc Cgl Solution Set 81 Algebra 17 Algebra This Or That Questions Algebra Problems

Ssc Cgl Solution Set 81 Algebra 17 Algebra This Or That Questions Algebra Problems

One Page Notes Worksheet For Polynomials Unit College Math Studying Math Polynomials

One Page Notes Worksheet For Polynomials Unit College Math Studying Math Polynomials

Integrals Calculus Math Formulas Math Help

Integrals Calculus Math Formulas Math Help

Algebra 2 Worksheets Sequences And Series Worksheets Geometric Sequences Arithmetic Sequences Arithmetic

Algebra 2 Worksheets Sequences And Series Worksheets Geometric Sequences Arithmetic Sequences Arithmetic

Poster Pembelajaran Kalkulus Belajar Matematika

Poster Pembelajaran Kalkulus Belajar Matematika

Rs Calculus Integrals Calculus Calculus Math Formulas Math Help

Rs Calculus Integrals Calculus Calculus Math Formulas Math Help

What Is Calculus A Beginner S Guide To Limits And Differentiation In 2020 Calculus Differential Calculus Mathematics Education

What Is Calculus A Beginner S Guide To Limits And Differentiation In 2020 Calculus Differential Calculus Mathematics Education

Graphing And Finding Roots Of Polynomial Functions She Loves Math Polynomial Graph Polynomials Writing Equations

Graphing And Finding Roots Of Polynomial Functions She Loves Math Polynomial Graph Polynomials Writing Equations

Lu Decomposition Method Algorithm Implementation In C With Solved Examples Algorithm Method Numerical Methods

Lu Decomposition Method Algorithm Implementation In C With Solved Examples Algorithm Method Numerical Methods

Squares And Square Roots Rs Aggarwal Class 8 Maths Solutions Exercise 3b Maths Solutions Class 8 Math

Squares And Square Roots Rs Aggarwal Class 8 Maths Solutions Exercise 3b Maths Solutions Class 8 Math

Plus Two Maths Chapter Wise Questions And Answers Chapter 4 Determinants This Or That Questions Math Question And Answer

Plus Two Maths Chapter Wise Questions And Answers Chapter 4 Determinants This Or That Questions Math Question And Answer

Source : pinterest.com