ads/auto.txt

Autonomous Differential Equation Definition

Introduction To Autonomous Differential Equations Math Insight

Introduction To Autonomous Differential Equations Math Insight

Introduction To Bifurcations Of A Differential Equation Math Insight

Introduction To Bifurcations Of A Differential Equation Math Insight

Solved An Equilibrium Solution Of An Autonomous Different Chegg Com

Solved An Equilibrium Solution Of An Autonomous Different Chegg Com

How To Classify Differential Equations Youtube

How To Classify Differential Equations Youtube

Autonomous Equations Stability Example 1 Differential Equations Griti Youtube

Autonomous Equations Stability Example 1 Differential Equations Griti Youtube

Differential Equations Classification Youtube

Differential Equations Classification Youtube

Differential Equations Classification Youtube

Since this integral is often difficult or impossible to solve we will investigate the solution by looking at the direction field.

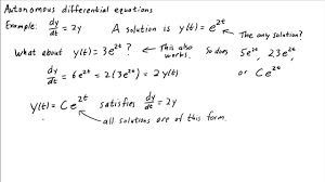
Autonomous differential equation definition. It is called an autonomous differential equation. When the equation is a function of both the dependent independent variables they are referred to as non autonomous functions. Order of the differential equation definition linear ordinary differential equation a linear ordinary differential equation of order n in the dependent variable y and the independent variable x is an. Dfrac dy dt ry as we have seen in many prior math courses the solution is y c oe rt.

It is distinguished from systems of differential equations of the form in which the law governing the evolution of the system does not depend solely on the system s current state but also the parameter t. The equation is called autonomous when for any of its solutions any admissible time translate of that solution is its solution too. An autonomous system is a system of ordinary differential equations of the form where x takes values in n dimensional euclidean space. The formulation of the w method in its as presented form can be used only with equations that do not incorporate the dependent variable in them such equations that are functions of just the independent variables are referred to as autonomous functions.

Begingroup for differential equations ordinary partial with deviating argument etc as well as for some integral equations a rule of thumb is the following. Direction fields of autonomous differential equations are easy to construct since the direction field is constant for any horizontal line. T is often interpreted as time. The first definition that we should cover should be that of differential equation.

One of the simplest autonomous differential equations is the one that models exponential growth. Then picard s theorem applies which implies that solution curves to an autonomous equation don t cross. A differential equation is any equation which contains derivatives either ordinary derivatives or partial derivatives. Introduction to differential equations autonomous equation.

Autonomous differential equation the first order differential equation 1 y0 x f y x has right side independent of x. There is one differential equation that everybody probably knows that is newton s second law of motion. That is if the right side does not depend on x the equation is autonomous. Introduction to solving autonomous differential equations using a linear differential equation as an example.

Dy dt f y notice that an autonomous differential equation is separable and that a solution can be found by integrating. Autonomous equations are separable but ugly integrals and expressions that cannot be solved for y make qualitative analysis sensible. A differential equation of the form y0 f y is autonomous. A differential equation is called autonomous if it can be written as.

Find The Steady State Solution From Two Given Differential Equations Mathematics Stack Exchange

Find The Steady State Solution From Two Given Differential Equations Mathematics Stack Exchange

First Order Differential Equations Ppt Download

First Order Differential Equations Ppt Download

The Stability Of Equilibria Of A Differential Equation Math Insight

The Stability Of Equilibria Of A Differential Equation Math Insight

Ma3264 Mathematical Modelling Lecture 10 Chapter 10 Modelling With A Differential Equation Ppt Download

Ma3264 Mathematical Modelling Lecture 10 Chapter 10 Modelling With A Differential Equation Ppt Download

Ppt First Order Differential Equations Powerpoint Presentation Free Download Id 6078440

Ppt First Order Differential Equations Powerpoint Presentation Free Download Id 6078440

Equilibrium Points For Nonlinear Differential Equations Youtube

Equilibrium Points For Nonlinear Differential Equations Youtube

Solved Gompertz Differential Equation Dv Dt Av Ln V B Chegg Com

Solved Gompertz Differential Equation Dv Dt Av Ln V B Chegg Com

A First Course In Differential Equations Pdf Differential Equations Equations Mathematics

A First Course In Differential Equations Pdf Differential Equations Equations Mathematics

Order And Linearity Of Differential Equations

Order And Linearity Of Differential Equations

Exponential Distribution Cdf Exponential Probability Album Covers

Exponential Distribution Cdf Exponential Probability Album Covers

Pdf Introduction Of The Differential Transform Method To Solve Differential Equations At Undergraduate Level

Pdf Introduction Of The Differential Transform Method To Solve Differential Equations At Undergraduate Level

Pdf Stability Of The Second Order Delay Differential Equations With A Damping Term

Pdf Stability Of The Second Order Delay Differential Equations With A Damping Term

Linear Differential Equations Of First Order

Linear Differential Equations Of First Order

Separable Equations Introduction Differential Equations Video Khan Academy

Separable Equations Introduction Differential Equations Video Khan Academy

Source : pinterest.com